Минимальное напряжение ЛЭП - 0.4 кВ (напряжение между каждым фазным проводом и нолём - 220 вольт). Такие линии обычно используются в дачных посёлках, они выглядят так. Характерный признак - маленькие белые или прозрачные изоляторы и пять проводов (три фазы, ноль, фаза к фонарям освещения). Для подвода напряжения к трансформаторам тех же дачных посёлков используются линии 6 и 10 кВ. 6-киловольтные линии используются всё реже. Отличие от низковольтной линии в размере изоляторов. Здесь они гораздо больше. Для каждого провода используется один или два изолятора. Проводов всегда три. Очень важно не путать эти линии. Я читал грустную историю про горе-строителей, которые хотели подключить бетономешалку напрямую к проводам ЛЭП и сдуру накинули крючки на 10-киловольтные провода вместо 220-вольтных. Следующий стандартный номинал напряжения ЛЭП - 35 кВ. Такую ЛЭП легко распознать по трём изоляторам, на которых закрепляется каждый провод. У линии 110 кВ (110 тысяч вольт) изоляторов на каждом проводе шесть. У линии 150 кВ изоляторов на каждом проводе 8-9. Линии 220 кВ чаще всего используются для подвода электричества к подстанциям. В гирлянде от 10 изоляторов. ЛЭП 220 кВ могут значительно отличаться друг от друга, количество изоляторов может доходить до 40 (две группы по 20), но одна фаза у них всегда передаётся по одному проводу. Недавно в Москве на пересечении Калужского шоссе и МКАД поставили две опоры ЛЭП 220 кВ необычного вида. О них подробно рассказала neferjournal: http://neferjournal.livejournal.com/4207780.html. Это фото из её поста. ЛЭП 330 кВ, 500 кВ и 750 кВ можно распознать по количеству проводов каждой фазы. 330 кВ - по два провода в каждой фазе и от 14 изоляторов. ЛЭП 500 кВ - по три провода, расположенных треугольником, на фазу и от 20 изоляторов в гирлянде. ЛЭП 750 кВ - 4 или 5 проводов, расположенных квадратом или кольцом, на каждую фазу и от 20 изоляторов в гирлянде. Убедиться в точности определения напряжения можно, посмотрев, что написано на опоре ЛЭП. Во второй строке указан номер опоры ЛЭП, а в первой строке указана буква и цифра через тире. Цифра - это номер высоковольтной линии, а буква - напряжение. Буква Т означает 35 кВ, С - 110 кВ, Д - 220 кВ. Допустимые расстояния до токоведущих частей для разных типов ЛЭП. Информация и часть фотографий для этого поста во многом почёрпнута из статьи Как по изоляторам определить напряжение ВЛ. © 2016, Алексей Надёжин Второй мой проект - lamptest.ru. Я тестирую светодиодные лампы и помогаю разобраться, какие из них хорошие, а какие не очень. ammo1.livejournal.com Рассмотрим ЛЭП без потерь, для которой активное сопротивление r0= 0 и активная проводимостьg0= 0. Выделим на ней отрезок единичной длины∆lс индуктивным сопротивлениемx0∆lи емкостной проводимостьюb0∆l. На этом участке имеют место потребление реактивной мощности на индуктивном сопротивлении и генерация реактивной мощности за счет емкостной проводимости: x0∆l,QC =U 2 b0∆l. Мощность QLзависит от величины передаваемой мощности, а мощностьQCот величины передаваемой мощности не зависит. Следовательно, при некоторой активной мощностиPбудет иметь место равенствоQL = QCи реактивная мощность ЛЭП будет равна нулю, то есть линия станет идеальной. Мощность, передаваемую в этом режиме, называютнатуральной мощностью Pнат, а сам режим работы ЛЭП — режимом передачи натуральной мощности. При номинальном напряжении x0∆lωL0∆l, b0∆lωС0∆l, , откуда находим: или , где — волновое сопротивление линии. В реальной линии, в которой r0 ≠ 0 и g0 ≠ 0, при Q = 0 будут наименьшими: ∆P , а при P=Pнатлиния будет работать с наибольшим КПД вследствие того, что она находится на самобалансе реактивной мощности. На практике невозможно обеспечить работу всех линий в режиме, близком к натуральному, но этого добиваются для отдельных линий, когда существует возможность регулировать передаваемую мощность за счет ее перераспределения в электрической сети и генерирования реактивной мощности в местах ее потребления. Пропускная способность ЛЭП определяется величиной активной мощности, которую линия может передать при выполнении всех условий, определяющих ее нормальную работу. Натуральная мощность, пропускная способность и предельная длина воздушных ЛЭП на напряжения 35 кВ и выше приведена в таблице 3.3. Натуральная мощность кабельных линий на порядок больше, чем воздушных. Таблица 3.3. Пропускная способность и дальность передачи линий 35…1150 кВ Напряжение линии, кВ Сечение провода, мм2 Передаваемая мощность, МВт Длина ЛЭП, км натуральная при плотности тока 1,1 А/мм2 предельная при КПД 0,9 средняя меж- ду двумя со-седними ПС 35 70…150 3 4…10 25 8 110 70…240 30 13…45 80 25 150 150…300 60 38…77 250 20 220 24…400 135 90…150 400 100 330 2∙240…2∙400 360 270…450 700 130 500 3∙300…3∙500 900 770…1300 1200 280 750 5∙300…5∙500 2100 1500…2000 2200 300 1150 8∙300…8∙500 5200 4000…6000 3000 — Примечание: Передаваемая мощность зависит от длины линии. В настоящее время для выработки электрической энергии, ее передачи на расстояние, распределения и потребления используется переменный ток. Это объясняется, прежде всего, способностью переменного тока к трансформации, т.е. изменению напряжения с помощью достаточно простых аппаратов—трансформаторов, а также и тем, чтоэлектродвигателипеременного тока по своей конструкции значительно проще и, следовательно, надежнее электродвигателей постоянного тока. Тем не менее, в последние десятилетия электроэнергетики разных стран все чаще применяют постоянный ток для решения ряда задач, в том числе связанных с передачей электрической энергии на расстояние. Для ответа на вопрос, почему это делается, сопоставим характеристики линий переменного и постоянного тока. При работе воздушной линии на переменном напряжении ее индуктивность оказывает сопротивление протеканию переменного тока и, в конечном итоге, определяет ту максимальную мощность, которую можно передать по этой линии. Индуктивное сопротивление линии возрастает при увеличении ее длины, и, следовательно, при этом снижается максимальная мощность, которую можно передать по линии. Емкость воздушной линии переменного тока практически не влияет на передаваемую мощность, однако через нее протекает так называемый зарядный ток, который создает зарядную мощность линии и приводит к дополнительному нагреву проводов, т.е. увеличивает потери энергии в линии и снижает ее КПД. При работе воздушной линии на постоянном напряжении, когда по ней протекает постоянный ток, в установившемся режиме ни ее индуктивность, ни емкость не оказывают никакого влияния на процесс передачи электрической энергии по линии и, следовательно, на максимальную мощность, которую можно передать по линии при увеличении длины последней. Зарядная мощность линии постоянного тока отсутствует. Из сказанного можно сделать следующие выводы: 1. Для воздушной линии переменного тока существует зависимость максимальной передаваемой мощности от ее длины — чем длиннее линия, тем меньше предельная мощность, которую можно по ней передать; это одна из причин, ограничивающих допустимую длину такой линии; 2. Воздушная линия постоянного тока не имеет такого ограничения, поэтому линия постоянного тока может иметь любую длину и передаваемую мощность, которые диктуются практической целесообразностью. Кабельные линии переменного токаимеют весьма ограниченную длину — не более 15–20 км. Это объясняется большой зарядной мощностью, возникающей вследствие значительной емкости кабеля. Зарядная мощность приводит к дополнительному нагреву жил кабеля, вынуждая снижать полезную передаваемую мощность и ограничивать длину кабеля. В особенности это относится к высоковольтным кабельным линиям (110–500 кВ). Поэтому кабельные линии переменного тока не могут быть использованы для передачи электроэнергии на достаточно большие расстояния. В кабельной линии постоянного токазарядная мощность отсутствует и не создает дополнительного нагрева кабеля. Поэтому кабельные линии постоянного тока могут сооружаться достаточно длинными (100–200 км и более) и использоваться для решения задач, которые невозможно решить иными путями, например для пересечения больших водных пространств (морских проливов), ввода больших мощностей в центры крупных городов и др. Кроме того, с помощью линий постоянного тока можно объединять энергосистемы, работающие несинхронного, а также энергосистемы, работающие на разных частотах. Объединение с помощью линий переменного тока крупных энергосистем, даже работающих синхронно, может приводить к потере устойчивости, что грозит крупными авариями. Если же энергосистемы объединять с помощью звена постоянного тока, то они будут работать независимо друг от друга, но обмениваться между собой мощностью. При этом аварийные возмущения в одной из систем не будут передаваться в другие, как это было бы при связи на переменном токе. Из сказанного выше могут быть определенывозможные области применения постоянного токав современной электроэнергетике. К ним следует отнести: — дальние электропередачи, например, от удаленных ГЭС или АЭС. Расстояния здесь могут исчисляться многими сотнями и тысячами километров; — передача электроэнергии через большие водные пространства; — глубокие вводы большой мощности в центры крупных городов; — связь систем переменного тока с различной номинальной частотой; — несинхронные связи систем одной номинальной частоты, что позволит повысить живучесть объединенной системы. Внастоящее время все электропередачи постоянного тока делятся на две группы. К первой из них относятся собственноэлектропередачи постоянного тока(ППТ), где электрическая энергия передается на какое-то расстояние. Неотъемлемой частью этих электропередач является воздушная или кабельная линия постоянного тока. Ко второй группе относятся так называемыевставки постоянного тока(ВПТ), где линия постоянного тока отсутствует. Все звено постоянного тока расположено на одной подстанции, на которую заходят линии переменного тока от связываемых систем. Структурные схемы ППТ и ВПТ приведены на рис. 3.13. Электрическая энергия переменного тока, вырабатываемая генераторами передающей системы, выпрямителями Впреобразуется в энергию постоянного тока и передается по линии, а затем с помощью инверторовИснова преобразуется в энергию переменного тока и передается в приемную систему. Преобразователи построены на основе трехфазных вентильных мостов. С целью повышения напряжения цепи постоянного тока преобразователи выполняются по 12-фазным схемам, образуемым последовательным включением двух трехфазных мостов. Преобразователи являются реверсивными: при необходимости изменения направления передачи мощности выпрямитель становится инвертором, а инвертор — выпрямителем. При этом направление тока в линии остается неизменным, так как вентили в преобразователях пропускают ток только в одном направлении, но меняется полярность самих преобразователей. Основным элементом преобразовательного мостаявляются вентили. В настоящее время в качестве вентилей чаще всего используютсявысоковольтные тиристорные вентили(ВТВ), собранные из множестватиристоров, включенных последовательно. Кроме того, все более широко применяются полностью управляемые высоковольтные вентили на базеIGBTтранзисторов. Другим важным элементом преобразовательного блока является трансформатор, который связывает преобразовательный мост с сетью передающей или приемной системы. Этот трансформатор выполняет две функции: — согласует напряжение сети переменного тока с напряжением линии постоянного тока, что обеспечивается выбором соответствующего коэффициента трансформации; — электрически отделяет цепь выпрямленного тока от сети переменного тока. Электропередачи постоянного тока могут выполняться по униполярнойилибиполярнойсхеме. В униполярной схеме (рис. 3.13а) один из полюсов передачи заземляется с обеих сторон. Заземление выполняется обязательно, так как в противном случае потенциалы полюсов относительно земли в этой цепи будут определяться случайными факторами, главным образом токами утечки по изоляции. Это недопустимо, поскольку невозможно будет осуществить координацию изоляции. В униполярной схеме провод заземленного полюса обычно отсутствует, его роль выполняет земля. Сопротивление земли для постоянного тока равно нулю. Поэтому сопротивление заземленного провода будет определяться только сопротивлением заземлителей, имеющим очень малую величину (0,05–0,15 Ом). Обычно электропередачи такого типа сооружаются при пересечении больших водных пространств, например морских проливов. Использование земли для возврата тока имеет и свои отрицательные стороны. Наиболее существенным недостатком здесь является возможность коррозионного разрушения металлических инженерных сооружений, проложенных в земле вблизи заземления, — трубопроводов, кабелей. Если линия прокладывается в местности, где много подземных инженерных сооружений, например при глубоком вводе в город, для того чтобы избежать растекания тока по земле, заземленный полюс выполняется в виде кабеля, жила которого заземлена. Мощные ППТ выполняются по биполярной схеме (рис. 3.13б), где линия выполнена с двумя полюсами, каждый из которых изолирован от земли. Заземляются средние точки преобразовательных подстанций. При этом напряжение между полюсами вдвое выше, чем напряжение полюс земля. Это позволяет повысить КПД передачи. Кроме того, при выходе одной полуцепи из работы другая продолжает работать, но с возвратом тока через землю. При этом мощность передачи уменьшается вдвое, но, тем не менее, передача продолжает работать. У вставок постоянного тока линия отсутствует, поэтому они выполняются по униполярной схеме на меньшие напряжения цепи постоянного тока. Стоимость линии постоянного тока меньше стоимости линии переменного тока, главным образом, за счет более легких опор. В то же время стоимость подстанций ППТ будет выше, чем стоимость подстанций переменного тока, за счет более сложного и дорогого оборудования. Следовательно, с превышением некоторой критической длины линии ППТ становится дешевле ЛЭП переменного тока такой же мощности. В зависимости от конкретной ситуации критическая длина линии может составлять от 500 до 1000 км. По состоянию на 2012 год во всем мире действовало (или готовилось к вводу в эксплуатацию) 83 ППТ общей мощностью около 99 ГВт и 39 ВПТ общей мощностью 18,6 ГВт. Лидером в области строительства ППП является Китай, где имеется 14 ППТ общей мощностью 43,8 ГВт (44,3% от мощности всех ППТ в мире). Наиболее мощной и протяженной воздушной ППТ также станет китайская ППТ Цзиньпин–Восточный Китай (КНР), 2100 км, 7,2 ГВт, ±800 кВ. Напряжение ±800 кВ в настоящее время является самым высоким напряжением ППТ. Ввод этой линии на полную мощность намечен на 2014 г. Наиболее протяженными кабельными ППТ являются ППТ Герус–Замбези (Намибия), 970 км, 300 МВт и Ява–Суматра (Индонезия) 700 км, 3 ГВт. Абсолютное большинство действующих ППТ и ВПТ выполнено на тиристорных преобразователях. Однако с 1997 г. началось создание передач и инверторами напряжения на IGBTтранзисторах. Первая такая ППТ, построенная в Швеции, имела мощность всего 3 МВт. Однако к настоящему времени действуют уже 12 ППТ наIGBTтранзисторах, мощность отдельных электропередач достигает 800 МВт (Германия). В России помимо ВПТ «Выборг» мощностью 1,065 ГВт, связывающей энергосистемы России и Финляндии, действует единственная ППТ Волгоград–Донбасс (400 кВ, 750 МВт, 475 км), построенная еще в 1964 г. Строительство ППТ Экибастуз–Тамбов (Экибастуз–Центр) протяженностью 2400 км, мощностью 6 ГВт и напряжением ±750 кВ, начатое в 80-е годы XXв., прекращено в 90-е годы в связи с распадом СССР. В период до 2018 года в мире планируется ввести в строй 28 ППТ и ВПТ общей мощностью около 90 ГВт. Лидером по-прежнему является Китай, где планируется ввести 13 ППТ общей мощностью 76,4 ГВт, в том числе ППТ Иркутск–Пекин мощностью 6,4 ГВт. Заслуживает также внимания проект кабельной ППТ между Францией и Испанией на IGBTтранзисторах мощностью 2 ГВт (напряжение ±320 кВ, длина 60 км), которая планируется к пуску в 2014 г. В Генеральном плане развития электрической сети ЕЭС России на период до 2020 г. рекомендуется строительство ППТ Сибирь – Урал – Центр (±750 кВ, 3 ГВт, 3700 км), Урал – Средняя Волга – Центр (±750 кВ, 3 ГВт, 1850 км), две ППТ Эвенкийская ГЭС – Тюмень ((±500 кВ, 2,5 ГВт, 600 и 800 км), Сибирь – Тюмень (±550 кВ, 2 ГВт, 900 км). С целью объединения энергосистем Сибири и Дальнего Востока рекомендуется установить на подстанциях Могочи и Хани ВПТ мощностью 500 МВт каждая. studfiles.net Линия электропередачи (ЛЭП) — один из компонентов электрической сети, система энергетического оборудования, предназначенная для передачи электроэнергии посредством электрического тока. Также электрическая линия в составе такой системы, выходящая за пределы электростанции или подстанции.[1] Различают воздушные и кабельные линии электропередачи. По ЛЭП также передают информацию при помощи высокочастотных сигналов (по оценкам[каким?], в СНГ используется порядка 60 тысяч ВЧ-каналов по ЛЭП) и ВОЛС. Воздушная линия электропередачи (ВЛ) — устройство, предназначенное для передачи или распределения электрической энергии по проводам, находящимся на открытом воздухе и прикреплённым с помощью траверс (кронштейнов), изоляторов и арматуры к опорам или другим сооружениям (мостам, путепроводам). Конструкция ВЛ, её проектирование и строительство регулируются Правилами устройства электроустановок (ПУЭ) и Строительными нормами и правилами (СНиП). В основном, ВЛ служат для передачи переменного тока и лишь в отдельных случаях (например, для связи энергосистем, питания контактной сети и другие) используются линии постоянного тока. Линии постоянного тока имеют меньшие потери на емкостную и индуктивную составляющие. Так, в Ростовской области была построена экспериментальная линия постоянного тока на 500 кВ. Однако широкого распространения такие линии не получили. Эти группы существенно различаются, в основном — требованиями в части расчётных условий и конструкций. В сетях СНГ общего назначения переменного тока 50 Гц, согласно ГОСТ 721-77, должны использоваться следующие номинальные междуфазные напряжения: 380 В; (6)[2], 10, 20, 35, 110, 220, 330, 500, 750 и 1150 кВ. Могут также существовать сети, построенные по устаревшим стандартам с номинальными межфазными напряжениями: 220 В, 3 и 150 кВ. Самой высоковольтной ЛЭП в мире является линия Экибастуз-Кокчетав, номинальное напряжение — 1150 кВ. Однако, в настоящее время линия эксплуатируется под вдвое меньшим напряжением — 500 кВ. Номинальное напряжение для линий постоянного тока не регламентировано, чаще всего используются напряжения: 150, 400 (Выборгская ПС — Финляндия) и 800 кВ. В специальных сетях могут использоваться и другие классы напряжений, в основном это касается тяговых сетей железных дорог (27,5 кВ, 50 Гц переменного тока и 3,3 кВ постоянного тока), метрополитена (825 В постоянного тока), трамваев и троллейбусов (600 В постоянного тока). Кабельная линия электропередачи (КЛ) — линия для передачи электроэнергии или отдельных её импульсов, состоящая из одного или нескольких параллельных кабелей с соединительными, стопорными и концевыми муфтами (заделками) и крепёжными деталями, а для маслонаполненных линий, кроме того, с подпитывающими аппаратами и системой сигнализации давления масла. По классификации кабельные линии аналогичны воздушным линиям. Основная статья: Пожары в электроустановках При пожарах в кабельных помещениях в начальный период происходит медленное развитие горения и только спустя некоторое время скорость распространения горения существенно увеличивается. Практика свидетельствует, что при реальных пожарах в кабельных туннелях наблюдаются температуры до 600 °C и выше. Это объясняется тем, что в реальных условиях горят кабели, которые длительное время находятся под токовой нагрузкой и изоляция которых прoгревается изнутри до температуры 80 °C и выше. Может возникнуть одновременное воспламенение кабелей в нескольких местах и на значительной длине. Связано это с тем, что кабель находится под нагрузкой и eгo изоляция нагревается до температуры, близкой к температуре самовоспламенения[3]. Кабель состоит из множества конструктивных элементов, для изготовления которых используют широкий спектр горючих материалов, в число которых входят материалы, имеющие низкую температуру воспламенения, материалы склонные к тлению. Также в конструкцию кабеля и кабельных конструкций входят металлические элементы. В случае пожара или токовой перегрузки происходит прогрев этих элементов до температуры порядка 500—600 ˚C, которая превышает температуру воспламенения (250–350 ˚C) многих полимерных материалов, входящих в конструкцию кабеля, в связи с чем возможно их повторное воспламенение от прогретых металлических элементов после прекращения подачи огнетушащего вещества. В связи с этим необходимо выбирать нормативные показатели подачи огнетушащих веществ, чтобы обеспечивать ликвидацию пламенного горения, а также исключить возможность повторного воспламенения[4]. Длительное время в кабельных помещениях применялись установки пенного тушения. Однако опыт эксплуатации выявил ряд недостатков: Исследования показали, что распыленная вода обладает большей огнетушащей способностью по сравнению с воздушно-механической пеной, так как она хорошо смачивает и охлаждает горящие кабели и строительные конструкции[5]. Линейная скорость распространения пламени для кабельных сооружений (горение кабелей) составляет 1,1 м/мин[6]. Изоляция кабельных линий делится на два основных типа: Здесь не указана изоляция газообразными веществами и некоторые виды жидкостной и твёрдой изоляции из-за их относительно редкого применения в момент написания статьи. Технология высокотемпературной сверхпроводимости (HTS), разработанная «Sumitomo Electric», применяется в демонстрационной системе силовой сети, запущенной в эксплуатацию в июле 2006 в США (Лонг-Айленд). При напряжении 138 кВ передаётся мощность в 574 МВА на длину 600 метров. Потери электроэнергии в проводах зависят от силы тока, поэтому при передаче её на дальние расстояния, напряжение многократно повышают (во столько же раз уменьшая силу тока) с помощью трансформатора, что при передаче той же мощности позволяет значительно снизить потери. Однако с ростом напряжения начинают происходить различные разрядные явления. В воздушных линиях сверхвысокого напряжения присутствуют потери активной мощности на корону (коронный разряд). Коронный разряд возникает, когда напряжённость электрического поля E у поверхности провода превысит пороговую величину Eкр, которую можно вычислить по эмпирической формуле Пика: МВ/м, где r - радиус провода в метрах, β - отношение плотности воздуха к нормальной.[7] Напряженность электрического поля прямо пропорциональна напряжению на проводе и обратно пропорциональна его радиусу, поэтому бороться с потерями на корону можно, увеличивая радиус проводов, а также (в меньшей степени) - применяя расщепление фаз, т.е. используя в каждой фазе несколько проводов, удерживаемых специальными распорками на расстоянии 40-50 см. Потери на корону приблизительно пропорциональны произведению U(U-Uкр). Потери на корону резко возрастают с ростом напряжения, среднегодовые потери на ЛЭП напряжением 500 кВ составляют около 12 кВт/км, при напряжении 750 кВ - 37 кВт/км, при 1150 кВ - 80 кВт/км. Потери также резко возрастают при осадках, особенно изморози, и могут достигать 1200 кВт/км[8]. Важной величиной, влияющей на экономичность ЛЭП переменного тока, является величина, характеризующая соотношение между активной и реактивной мощностями в линии — cos φ. Активная мощность — часть полной мощности, прошедшей по проводам и переданной в нагрузку; Реактивная мощность — это мощность, которая генерируется линией, её зарядной мощностью (ёмкостью между линией и землёй), а также самим генератором, и потребляется реактивной нагрузкой(индуктивной нагрузкой). Потери активной мощности в линии зависят и от передаваемой реактивной мощности. Чем больше переток реактивной мощности - тем больше потери активной. При длине ЛЭП переменного тока более нескольких тысяч километров наблюдается ещё один вид потерь — радиоизлучение. Так как такая длина уже сравнима с длиной электромагнитной волны частотой 50 Гц, провод работает как антенна. dic.academic.ru Итак, перед вами стоит вопрос: "Сколько вольт в ЛЭП?" и нужно узнать напряжение в линии электропередач в киловольтах (кВ). Стандартные значения можно определить по изоляторам ВЛ и внешнему виду проводов ЛЭП на столбах. Для повышения эффективности передачи электроэнергии и снижения потерь в воздушных и кабельных линиях, электрические сети разбивают на участки с разными классами напряжения ЛЭП. Классификация ЛЭП по напряжению Сколько вольт опасно для человека? Высокое напряжение воздействует на человека опасным для здоровья образом, так как ток (переменный или постоянный) способен не только поразить человека, но и нанести ожоги. Сеть 220 в, 50 Гц уже достаточно опасна так, как считается, что постоянное или переменное напряжение, которое превышает 36 вольт и ток 0,15А убивает человека. В связи с этим, в ряде случаев даже ток осветительной сети может оказаться смертельным для человека. Поэтому высоковольные провода подвешивают на определенной высоте на ЛЭП опорах. Высота столба ЛЭП зависит от стрелы провеса провода, расстояния от провода до поверхности земли, типа опоры и т. п С ростом рабочего напряжения в проводах ЛЭП увеличиваются размеры и сложность конструкций опор электропередач. Если для передачи напряжения 220/380 В используются обычные железобетонные (иногда деревянные) опоры с фарфоровыми линейными изоляторами, то воздушные линии мощность 500 кВ имеют внешний вид совсем иной. Опора ВЛ 500 кВ представляет собой сборную металлическую П-образную конструкцию высотой до нескольких десятков метров, к которым три провода крепятся с помощью траверс посредством гирлянд изоляторов. В воздушных линиях электропередач максимального напряжения ЛЭП 1150 кВ для каждого из трех проводов предусмотрена отдельностоящая металлическая опора ЛЭП. Штыревые фарфоровые изоляторы используются для подвешивания самых легких проводов в воздушных линиях небольшой мощности 0,4-10 кВ. Штыревые изоляторы этого типа имеют значительные недостатки, основными из которых являются недостаточная электрическая прочность (ограничение напряжения ЛЭП 0,4-10 кВ) и неудовлетворительный способ закрепления на изоляторе проводов ВЛ, создающие в эксплуатации возможность повреждений проводов в местах их креплений при автоколебаниях подвески. Поэтому в последнее время штыревые изоляторы полностью уступили место подвесным. Изоляторы ВЛ подвесного типа, применяющиеся у нас в контактной сети, имеют несколько иной внешний вид и размеры. При напряжении в ЛЭП свыше 35 кВ используются подвесные изоляторы ВЛ, внешний вид которых представляет собой фарфоровую или стеклянную тарелку-изолятор, шапки из ковкого чугуна и стержня. Для обеспечения необходимой изоляции изоляторы собирают в гирлянды. Размеры гирлянды зависят от напряжения линии и типа изоляторов высоковольтных линий. Приблизительно определить напряжение ЛЭП, мощность линии по внешнему виду, простому человеку бывает трудно, но, как правило, это можно сделать простым способом — точно посчитать количество и узнать сколько изоляторов в гирлянде крепления провода (в ЛЭП до 220 кВ), или число проводов в одной связке («пучке») для линий от 330 кВ и выше.. Сколько вольт в высоковольтных проводах ЛЭП? ЛЭП 110 кВ - это уже 6-10 высоковольтных изоляторов в гирляндах, если число тарелок от 10-ти до 15-ти, значит это ВЛ 220 кВ. Если вы можете видеть, что высоковольтные провода раздваиваются (расщепление) тогда — ЛЭП 330 кВ, если количество проводов подходящих на каждую траверса ЛЭП уже три (в каждой высоковольтной цепи) — то напряжение ВЛ 500 кВ, если количество проводов в связке четыре - мощность ЛЭП 750 кВ. Для более точного определения напряжения ВЛ обратитесь к специалистам в местное энергетическое предприятие. Количество подвесных изоляторов в гирляндах ВЛ на металлических и железобетонных опорах ЛЭП в условиях чистой атмосферы (с обычным полевым загрязнением). sbk.ltd.ua Электричество в наше время это основной вид энергии используемый повсюду. Повсеместное использование её стало возможным благодаря электрическим сетям, которые объединяют источники и потребителей электроэнергии. Линии электропередачи или сокращённо ЛЭП выполняют функцию транспортировки электричества. Они прокладываются либо над поверхностью земли и именуются «воздушными», либо заглубляются в землю и или под воду и именуются «кабельными». Воздушные линии электропередачи, несмотря на их сложную инфраструктуру получаются более дешёвыми по сравнению с кабельными линиями. Сам по себе высоковольтный кабель является дорогим и сложным изделием. По этой причине этими кабелями прокладываются только некоторые участки на трассе воздушной ЛЭП в тех местах, где невозможно установить опоры с проводами, например через морские проливы, широкие реки и т.п. Кабелями прокладываются электрические сети в населённых пунктах, где сооружение опор также невозможно из-за городской инфраструктуры. ЛЭП, несмотря на большую протяжённость это всё те же электрические цепи, для которых закон Ома применим так же, как и для остальных. Поэтому экономичность ЛЭП напрямую связана с увеличением напряжения в ней. Сила тока уменьшается, а вместе с ней и потери становятся меньше. По этой причине, чем дальше от электростанции расположены потребители, тем более высоковольтной должна быть ЛЭП. Современные сверхдальние ЛЭП передают электрическую энергию с напряжениями в миллионы вольт. Но увеличение напряжения с целью уменьшения потерь имеет ограничения. Причиной их является коронный разряд. Это явление проявляется, вызывая ощутимые потери энергии, начиная с напряжений выше 100 киловольт. Жужжание и потрескивание высоковольтных проводов является следствием коронного разряда на них. По этой причине, с целью уменьшения потерь на коронный разряд, начиная с 220 киловольт, применяется два провода и более для каждой фазы воздушной ЛЭП. Протяжённость линий электропередачи и рабочее напряжение их являются взаимосвязанными. Кроме проводов в состав линий электропередачи в качестве главных конструктивных элементов входят опоры. Их назначение это удерживание проводов. В каждой ЛЭП есть несколько разновидностей опор, что показано на изображении ниже: Анкерные опоры воспринимают большие нагрузки и поэтому имеют прочную жёсткую конструкцию, которая может быть весьма разнообразной. Все опоры соприкасаются со слабым или сырым грунтом через бетонный фундамент. В прочном грунте делаются скважины, в которые непосредственно погружаются опоры ЛЭП. Примеры конструкций металлических анкерных опор показаны на изображении далее: Опоры также могут быть изготовлены с применением бетона или древесины. Деревянные опоры хотя и менее долговечные, но в полтора раза более дешёвые в сравнении с металлическими и бетонными конструкциями. Особенно оправдано их применение в регионах с сильными морозами и большими запасами древесины. Наиболее широкое распространение деревянные опоры получили в электросетях с напряжением до 1000 Вольт. Конструкция таких опор показана на изображении далее: Провода современных ЛЭП в основном изготовлены из алюминиевой проволоки. Для местных линий электропередачи применяются провода из чистого алюминия. Ограничением является длина пролёта между опорами в 100 – 120 метров. Для более протяжённых пролётов применяются провода из алюминия и стали. Такой провод имеет внутри стальной трос, охваченный алюминиевыми жилами. Трос воспринимает механическую нагрузку, алюминий – электрическую. Полностью стальные провода применяются только на непротяжённых участках, где необходима максимальная прочность при минимальном весе провода. Все линии электропередачи с напряжением выше 35 киловольт снабжены стальным тросом для защиты от удара молний. Провода из меди и бронзы в настоящее время применяются только в ЛЭП специального назначения. Медная и алюминиевая проволока используется для изготовления полых трубчатых проводов. Это делается для уменьшения потерь в коронном разряде и для уменьшения радиопомех. Изображения проводов различной конструкции показаны далее: Провод для линий электропередачи выбирается с учётом условий работы и возникающих при этом механических нагрузок. В тёплое время года это ветер, который раскачивает провода и увеличивает нагрузку на разрыв. Зимой к ветру добавляется гололёд. Слой льда на проводах своим весом существенно увеличивает нагрузку на них. Тем более что понижение температуры приводит к уменьшению длины проводов и усиливает внутренне напряжение в их материале. Для безопасного соединения проводов с опорами используются изоляторы. Материалом для них служит либо электротехнический фарфор, либо закалённое стекло, либо полимер, как показано на изображении ниже: Стеклянные изоляторы при одних и тех же условиях получаются меньше и легче, чем фарфоровые. Конструктивно изоляторы разделяют на штыревые и подвесные. Штыревая конструкция для ЛЭП с напряжением выше 35 киловольт не применяется. Механические нагрузки, воспринимаемые подвесными изоляторами больше, нежели у штыревых изоляторов. По этой причине подвесная конструкция может применяться и на более низких напряжениях вместо штыревых изоляторов. Подвесной изолятор состоит из отдельных чашек, соединённых в гирлянду. Число чашек зависит от напряжения ЛЭП. Для соединения чашек в гирлянду и всех остальных креплений проводов и изоляторов применяется специальная арматура. Надёжность, прочность и долговечность в условиях открытой среды определяют такие материалы для изготовления арматуры как сталь и чугун. При необходимости получения повышенной стойкости к коррозии выполняется покрытие деталей цинком. К арматуре относятся различные зажимы, распорки, гасители вибрации, сцепные соединители, промежуточные звенья изоляторов, коромысла. Общее представление об арматуре даёт изображение ниже: Ещё одним компонентом устройства линий электропередачи являются конструкции защищающие оборудование, присоединённое к ЛЭП от атмосферных и коммутационных перенапряжений. От ударов молний защитой являются трос, протянутый выше всех проводов линии электропередачи и молниеотводы, которые обычно устанавливаются вблизи подстанций. Защитные промежутки располагаются на опорах ЛЭП. Пример такого промежутка показан на изображении слева. Вблизи подстанций устанавливаются трубчатые разрядники, в которых внутри есть искровой промежуток. Если он пробивается и при этом возникает дуга питаемая током короткого замыкания, выделяется газ, который гасит эту дугу. Все технические и организационные нюансы по устройству линий электропередачи регулируются Правилами устройства электроустановок (ПУЭ). Какие – либо отступления от этих правил категорически запрещаются и могут рассматриваться как преступление той или иной тяжести в зависимости от последствий оного. podvi.ru В случае, когда к проводам ЛЭП приложено напряжение в диэлектрике между проводами ЛЭП возникают токи смещения, не имеющие активной составляющей, определяющие рабочую емкость ЛЭП. Рассмотрим ЛЭП, к фазным проводам которой приложено напряжение прямой последовательности, заряды на проводах также образуют систему прямой последовательности, в комплексной форме записи получим Воспользуемся также выражениями для собственных и взаимных потенциальных коэффициентов Для транспонированной ЛЭП взаимные потенциальные коэффициенты одинаковы, где Выражение для рабочей емкости ЛЭП произвольной длины с нерасщепленной фазой: Рабочие параметры ЛЭП с расщепленной фазой. Для ЛЭП Рабочее индуктивное сопротивление на единицу длины (Ом/км) Эквивалентный радиус провода Расщепление при традиционно осуществляется для ВЛ Рабочие параметры ВЛ110-1150кВ Изменение погонного рабочего индуктивного сопротивления при увеличении класса напряжения ВЛ Приведенные параметры- это рабочие параметры прямой последовательности. Они применяются в схемах замещения для симметричных установившихся режимов, т.е. когда токи и напряжения образуют систему прямой последовательности. Если токи и напряжения образуют систему обратной последовательности параметры остаются теми же. При протекании токов нулевой последовательности Активная проводимость ВЛ. . Активная проводимость воздушных ЛЭП характеризует активные потери на корону. Сечение проводов выбирается так, чтобы коронный разряд на них при ясной погоде отсутствовал. Для каждого класса напряжения существует минимальное сечение, при котором коронный разряд отсутствует. В соответствии с ПУЭ проверка проводов ЛЭП на отсутствие короны должна осуществляться для линий напряжением 35кВ и выше. Схемы замещения ВЛ Схема замещения ЛЭП в общем случае. Активной проводимостью на землю обычно пренебрегают. Для ЛЭП с Для ЛЭП с Для ЛЭП с В справочной литературе (см. Справочник по проектированию эдектроэнергетических систем . под ред. С.С. Рокотяна) рабочие параметры ЛЭП приводятся на 100 км длины: При этом для линии длиной l и числом цепей cyberpedia.su Ли́ния элѐктропереда́чи (ЛЭП) — один из компонентов электрической сети, система энергетического оборудования, предназначенная для передачи электроэнергии посредством электрического тока. Также электрическая линия в составе такой системы, выходящая за пределы электростанции или подстанции[1]. Различают воздушные и кабельные линии электропередачи. В последнее время приобретают популярность газоизолированные линии — ГИЛ. По ЛЭП также передают информацию при помощи высокочастотных сигналов (по оценкам специалистов, в СНГ используется порядка 60 тысяч ВЧ-каналов по ЛЭП) и ВОЛС[2]. Используются они для диспетчерского управления, передачи телеметрических данных, сигналов релейной защиты и противоаварийной автоматики. Строительство ЛЭП — сложная задача, которая включает в себя проектирование, производственные работы, монтаж, пусконаладку, обслуживание. Воздушная линия электропередачи (ВЛ) — устройство, предназначенное для передачи или распределения электрической энергии по проводам, находящимся на открытом воздухе и прикреплённым с помощью траверс (кронштейнов), изоляторов и арматуры к опорам или другим сооружениям (мостам, путепроводам). ru-wiki.ru3.2.4. Натуральная мощность и пропускная способность лэп. Мощность лэп
Как узнать напряжение ЛЭП по её внешнему виду: ammo1
Полезно знать, какое напряжение передаётся по линии электропередач (ЛЭП), так как для каждого напряжения существует своя безопасная зона от проводов.
3.2.4. Натуральная мощность и пропускная способность лэп
3.2.5 Линии электропередач постоянного тока
Линия электропередачи - это... Что такое Линия электропередачи?
Линии электропередачи Линии электропередачи (Шарья) Воздушные линии электропередачи
Линия электропередачи 500 кВ
Состав ВЛ
Документы, регулирующие ВЛ
Классификация ВЛ
По роду тока
По назначению
По напряжению
По режиму работы нейтралей в электроустановках
По режиму работы в зависимости от механического состояния
Основные элементы ВЛ
Кабельные линии электропередачи
Кабельные линии делят по условиям прохождения
К кабельным сооружениям относятся
Пожарная безопасность кабельных сооружений
По типу изоляции
Высокотемпературные сверхпроводники
HTS кабель
Потери в ЛЭП
Потери в ЛЭП переменного тока
См. также
Литература
Ссылки
Примечания
Как определить напряжение ЛЭП по виду изоляторов ВЛ?
Важная роль при прокладке высоковольтных ЛЭП принадлежит типу линейных изоляторов, вид и конструкция которых зависят от напряжения в линии электропередач. Поэтому напряжение ЛЭП легко узнать по внешнему виду изолятора ВЛ.
Электрические линии малого напряжения - это ЛЭП-35 кВ (напряжение 35000 Вольт) легко определить самому визуально, т.к. они имеют в каждой гирлянде небольшое количество изоляторов - 3-5 штук.Количество изоляторов на ЛЭП (в гирлянде ВЛ)
Тип изолятора по ГОСТ
ВЛ 35 кВ
ВЛ 110 кВ
ВЛ 150 кВ
ВЛ 220 кВ
ВЛ 330 кВ
ВЛ 500 кВ
ПФ6-А (П-4,5)
3
7
9
13
19
-
ПФ6-Б (ПМ-4,5)
3
7
10
14
20
-
ПФ6-В (ПФЕ-4,5)
3
7
9
13
19
-
(ПФЕ-11)
-
6
8
11
16
21
ПФ16-А
-
6
8
11
17
23
ПФ20-А (ПФЕ-16)
-
-
-
10
14
20
(ПФ-8,5)
-
6
8
11
16
22
(П-11)
-
6
8
11
15
21
ПС6-А (ПС-4,5)
3
8
10
14
21
-
ПС-11 (ПС-8,5)
3
7
8
12
17
24
ПС16-А
-
6
8
11
16
22
ПС16-Б
-
6
8
12
17
24
ПС22-А
-
-
-
10
15
21
ПС30-А
-
-
-
11
16
22
ЛЭП (линии электропередач): устройство и конструкция
Классификация линий электропередачи
Опоры для проводов
Провода линий электропередачи
Изоляторы и арматура
Защитные приспособления
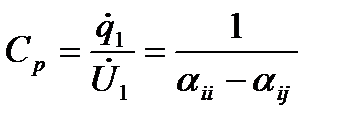
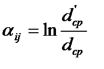
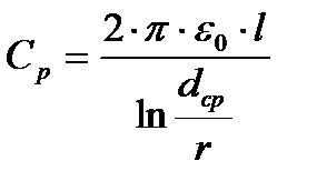
Рабочая емкость и зарядная мощность ЛЭП с нерасщепленными проводами.
,
,
.
, полученными для электростатического поля.
,
- собственные и взаимные потенциальные коэффициенты,
. 
, 
- среднегеометрическое расстояние между проводам и его зеркальным отображением,
- среднее расстояние провода над землей,
- среднегеометрическое расстояние между проводами,
- радиус провода.
, с учетом того, что
, получим 
. В справочной литературе приводится рабочая емкостная проводимость (и зарядная мощность) на 100км. длины ЛЭП
,Зарядная мощность
, тогда для ЛЭП произвольной длины получим
.
осуществляется расщепление фазных проводов на несколько составляющих.
, где n число составляющих в фазе.
, где
- реальный радиус провода,
-среднегеометрическое расстояние между составляющими фазы.
.
Были также построены и введены в опытную эксплуатацию линии повышенной натуральной мощности и пропускной способности более низких классов напряжения с глубоким расщеплением, сближением фаз между собой и большим радиусом расщепления. При расщеплении фазы
и
уменьшаются по сравнению с нерасщепленной линией,
и
увеличиваются.
,
. 

2х240
схема замещения:
схема замещения:
схема замещения:
,
,
.
:
,
,
.Линия электропередачи Википедия
Воздушные линии электропередачи[ | код]
Линия электропередачи на напряжение 500 кВ Состав ВЛ[ | код]









Поделиться с друзьями: